Generator Cummins hampir yang paling populer genset banyak digunakan di semua jenis industri pembangkit listrik di seluruh dunia. Jaringan layanan global mesin diesel Cummins bisa menyediakan pelanggan dengan layanan yang dapat diandalkan dan dijamin. Kisaran daya Genset Cummins adalah dari 24kw hingga 1800kw .
1. Cummins Generator Mesin Spesifikasi Utama
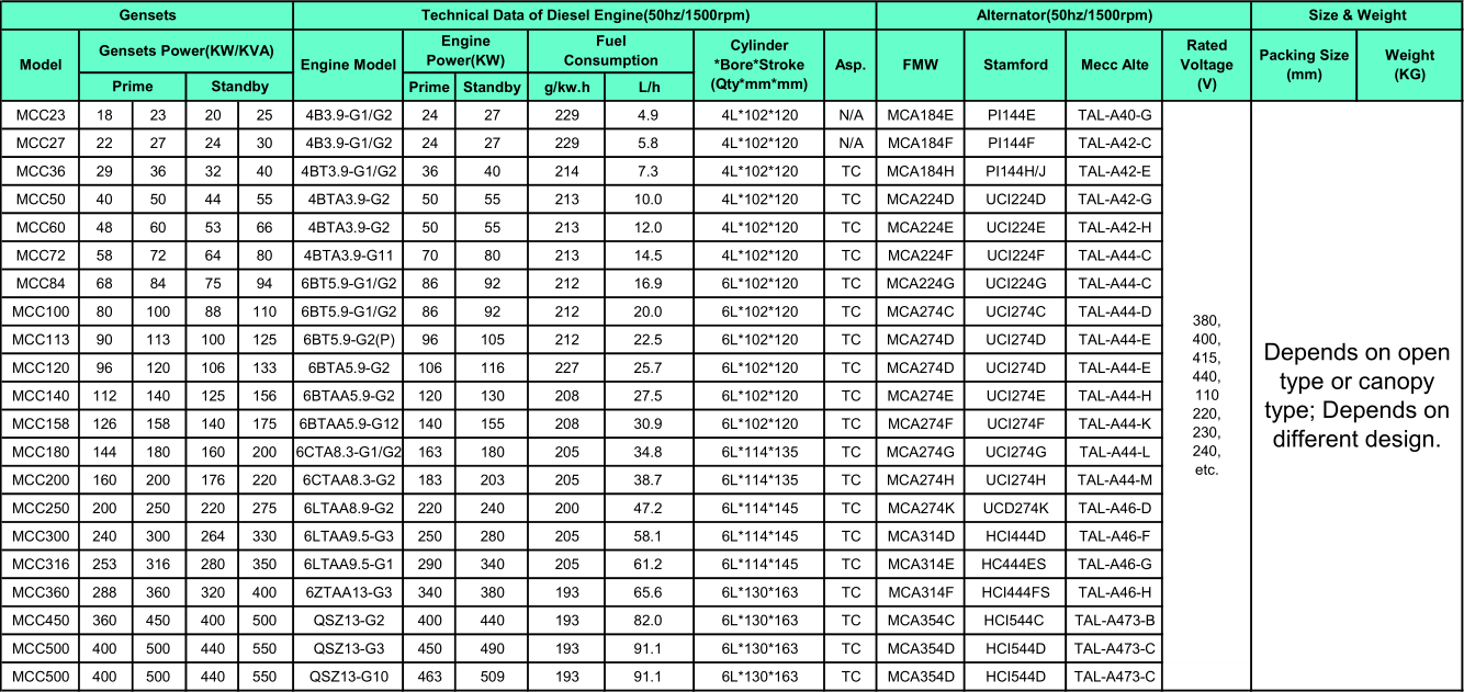
Generator Cummins Dongfeng

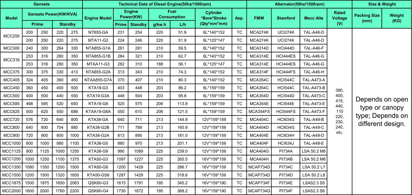
Generator Cummins Chongqing

2. Cummins Generator Se t
3. Fitur Generator Dan Lingkup Pengadaan
|
Bagian Standar
|
Bagian Opsional
|
|
Mesin diesel seri Ricardo, Lijia, dan Styer yang baru
|
Stamford asli, Leroy Somer dan Mecc Alte alternator
|
|
Alternator Brushless MCA baru (Kelas H, IP23, AVR)
|
Sistem kontrol generator Saklar Transfer Otomatis (A.T.S)
|
|
Basis rangka baja tugas berat dengan tangki bahan bakar 8 jam
|
Sistem kontrol generator paralleling
|
|
2MM-4MM baja kedap suara kanopi untuk generator diam
|
Tangki bahan bakar yang disesuaikan lebih dari 8 jam berlari
|
|
Pelindung pengaman radiator dengan jaring pengaman
|
Tugas berat 50 ℃ Radiator kuningan
|
|
Tugas berat karet anti-getaran peredam
|
Deepsea7320, Smartgen6110 atau ComAp AMF25 pengendali generator
|
|
Heavy duty peredam jenis industri dengan mulut fleksibel
|
Pemanas air / pemanas lub-minyak untuk cuaca yang sangat dingin
|
|
Baterai tanpa pemeliharaan kinerja tinggi yang standar negara
|
Elektronik seperti ABB, Schneider, dan Siemens
|
|
Pengontrol generator Deepsea6020, Smartgen420 atau ComAp MRS11
|
Kanopi super tenang cumtomized dengan spons kepadatan tinggi
|
|
Tekanan oli rendah, overheating, overload, dan proteksi overspeed
|
Bagian khusus sebagai kunci stainless-steel, pompa pembuangan minyak, filter debu dll
|
|
Elektronik berstandar negara seperti kabel, pemutus sirkus, relai, lampu, sekring, berhenti alat.
|
Suku cadang mesin ekstra dan alternator sebagai filter, paking, nozzle, AVR, penyearah
|
|
Tool kit dengan manual operasi genset, mesin, dan alternator
|
Kotak alat kit deluxe dengan berbagai alat untuk pemeliharaan
|
4. Kriteria Dan Sertifikat

5. Keuntungan dari Generator Diesel Kami

① Bahan dan suku cadang standar tinggi
● Dari sekrup, bantalan, spons kebisingan, kabel, peredam getaran, relai, AVR, dioda, pengukur, pinus, kawat tembaga, pelat baja, meter, pengendali, baterai, AMF, ATS, dan seterusnya.
② Tim penelitian dan pengembangan yang berpendidikan tinggi dan berpengalaman
● Dengan tim penelitian dan pengembangan yang sangat profesional, tidak hanya dapat standar daya manufactuer FMW generator berkualitas handal tetapi juga daya FMW dapat mendesain berbagai jenis generator seperti generator super diam, pembangkit listrik kontainer, generator cerdas sesuai dengan tuntutan unik klien.
③ Kinerja dan Kriteria Yang Handal
Pengaturan tegangan:
● Pengaturan rentang tegangan beban bebas ≥ (95-105)% Un
● Tingkat regulasi tegangan mantap ≤ ± 1.0 ﹪
● Tr tingkat tegangan regulasi ansient-state≤ + 20 ﹪ / - 15%
● Waktu pemulihan tegangan≤1.0S
● Rasio tegangan fluktuasi ≤ ± 0,5 ﹪
● Tegangan rasio tegangan dingin / panas 2 ﹪
Frequency / Speed Undulation:
● Ubah beban dari 0-100%, Frekuensi Droop Rasio / Kecepatan dalam 5%.
● Muat dari 25-100%, semua unduhan Frekuensi / Kecepatan stabil dalam 0,25%
Faktor Efek Telekomunikasi:
● TIF (MA MG1-22) lebih baik dari 50
● THF (BS EN60034) lebih baik dari 2%
Kriteria:
● ISO8528, GB / T2820
● EN12601: 2001, EN60034-22: 1997, EN60204-1: 2006
● Sistem Kendali Mutu ISO9001: 2008
● Ketahanan Isolasi Diuji sesuai dengan GB5226.1-2002-19.3
● Menahan-Tegangan Diuji sesuai dengan GB7 55-2000-8.1 (dengan 1500V dengan 60S)
● Semua suku cadang listrik diuji sesuai dengan GB5226.1-2002-19.6
● Keamanan Mekanis diuji sesuai dengan GB / T820.8-2002-6.3
● Api-Bukti diuji sesuai dengan GB / T2820.8-20 02-6.4 / 6.5
● Semua genset diperiksa ketat oleh Beban 25%, 50%, 75%, 100%, dan 110%.